公开招聘成绩公示,这些人将进入后续环节!
泉州中院公开招聘市聘司法辅助人员考试总成绩及进入后续环节人员名单的公示
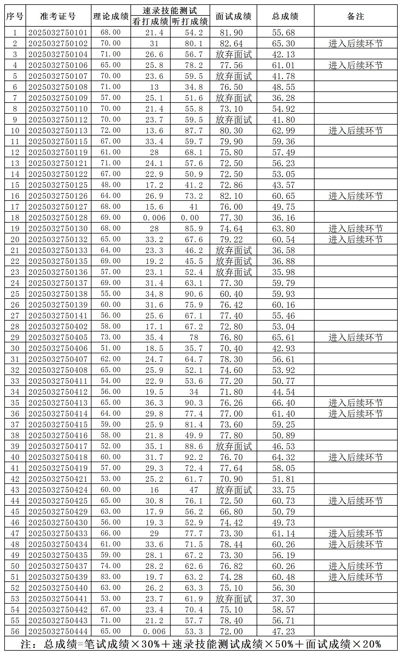
按照《泉州中院招聘市聘司法辅助人员的公告》的相关要求,经过笔试、速录技能测试、面试等环节,现将总成绩及进入后续环节人员名单予以公布(见附件)。心理风险测试及体检的时间和地点将另行通知,体检费用由考生承担。
泉州市中级人民法院
2025年4月1日
附件:2025年泉州市中级人民法院招聘市聘司法辅助人员总成绩公示

收藏
订阅
小程序
*声明:本站发布的招考动态来源于考试官方网站,本站整理编辑,若涉及版权或错误,请联系本站予以更改或删除。点击反馈

关注公众号